|
ECC 2000 (slides from talks)
4th workshop on Elliptic Curve Cryptography (ECC 2000)
(October 4-6, 2000)
Slides from some of the ECC 2000 talks:
- Jan Camenisch
Group Signature and Identity Escrow Schemes
pdf (1558k).
- Ronald Cramer
Secure Homomorphic Multi-Party Computation: Efficient
Constructions from Homomorphic Threshold Encryption and Applications
to Secure Distributed Linear Algebra.
- Claus Diem
Galois Theory and the DL-Problem
Postscript (132k).
- Pierrick Gaudry
Hyperelliptic Discrete Logarithms
Postscript (674k).
- Erwin Hess
Aspects of Public-Key Cryptosystems in Practice
pdf (1338k).
- Ansgar Heuser
Public Key Cryptography from the Point of View of a National
InfoSec Agency
Powerpoint (54k),
Postscript (3028k).
- Neal Koblitz
Miracles of the Height Function - A Golden Shield Protecting ECC
Postscript (128k).
- Robert Lambert
Block Architectures for Cryptographic Hardware
- Arjen Lenstra
The XTR Public-Key System
Postscript (1605k),
Powerpoint (142k).
- Peter Montgomery
Distributed Linear Algebra
Postscript (241k),
Powerpoint (123k).
- Christof Paar
Reconfigurable Hardware in Modern Cryptography
Postscript (3342k).
- Phil Rogaway
Stopping Dictionary Attacks
- Takakazu Satoh
Canonical Lifting of Elliptic Curves and p-Adic Point
Counting -- Theoretical Background
Postscript (94k).
- Ernst Schulte-Geers
Collision Search in a Random Mapping: Some Asymptotic Results
Postscript (144k).
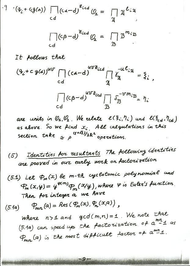
- Igor Semaev
Discrete Logarithms in Prime Finite Fields for Special Moduli
(JPG pages)
1,
2,
3,
4,
5,
6,
7,
8,
9,
10,
11.
- Nigel Smart
Recent Work on Weil Descent
Postscript (156k).
- Scott Vanstone
The Past Fifteen Years of Public-Key Cryptography
Postscript (157k).

|